Desil
Desil merupakan nilai yang membagi data
menjadi sepuluh bagian sama besar. Desil sering dilambangkan dengan D. jenis
ada 6, yairu D1 , D2 , D3, ….,…,…,D9.
1. Desil untuk data tunggal
Keterangan :
Di = desilk e-i
n = banyaknya data
n = banyaknya data
Contoh Soal Desil Data Tunggal
Tentukan desil ke-8 dari data : 6,3,8,9,5,9,9,7,5,7,4,5,8,3,7,6,.
Jawab:
n = 16
data terurut =
3,3,4,5,5,5,6,6,7,7,7,8,8,9,9,9.
2. Desil untuk data Kelompok
Menentukan letak desil untuk data
berkelompok
Keterangan :
D1 = desil ke-i
Tb = tepi bawah kelas kuartil
p = panjang kelas
n = banyak data
F = frekuensi kumulatif sebelum kelas kuartil
f = frekuensi kelas kuartil
Tb = tepi bawah kelas kuartil
p = panjang kelas
n = banyak data
F = frekuensi kumulatif sebelum kelas kuartil
f = frekuensi kelas kuartil
Contoh Soal Desil Data Kelompok
·
Tentukan nilai D6 dari data berikut
Jawab:
Jadi, nilai
D6 adalah 21,9
Persentil
Persentil merupakan nilai yang membagi
data menjadi serratus bagian sama besar. Persentil sering dilambangakan dengan
P. jenis persentil ada 99, yaitu P1, P2, P3 … P99.
1. Data tunggal
Keterangan :
Pi = pesentil ke-i
n = banyaknya data
n = banyaknya data
Contoh Soal Persentil Data Tunggal
Tentukan persentil ke-65 dari data :
6,5,8,7,9,4,5,8,4,7,8,5,8,4,5.
Jawab:
n = 15
data terurut :
4,4,4,5,5,5,5,6,7,7,8,8,8,8,9.
Jadi, nilai persentil ke-65 adalah 7,4.
2. Data bergolong (Berkelompok)
Menetukan letak persentil untuk data
berkelompok
Keterangan :
Pi = persentil ke-i
Tb = tepi bawah kelas persentil
p = panjang kelas
n = banyak data
F = frekuensi kumulatif sebelum kelas persentil
f = frekuensi kelas persentil
Tb = tepi bawah kelas persentil
p = panjang kelas
n = banyak data
F = frekuensi kumulatif sebelum kelas persentil
f = frekuensi kelas persentil
Contoh Soal Persentil Data Berkelompok
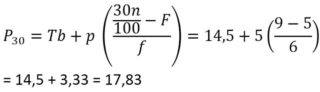
Tentukan P30 dari data berikut
Jawab:






















Komentar ini telah dihapus oleh pengarang.
BalasHapusTerima kasih, sangat bermanfaat
BalasHapusGud
BalasHapusTerima makasih, semoga tambah sukses....
BalasHapusKurang ngerti sma materi desilnyA
BalasHapusGak jelas
BalasHapusUntuk F yang persentil data berkelompok seharusnya 4 bukan 5, hasilnya 14.5 + 4.17 = 18.67
BalasHapusMudah dimengerti, makasih kak
BalasHapusBagus, cuma blm ngerti caranya
BalasHapusAduh gmnsiii, persentil 30 nya penjelasannya gajelas gitu. Fk nya kan 4 bukan 5. (9-4):5 hrsnya. Itu total bukan 17,83. Tp 18,67. Ngacooo bet
BalasHapus